¡Venta de lámina galvanizada en variedad de medidas desde el fabricante profesional chino! Wanzhi Group produce bobinas de acero galvanizado de diferentes grados de materiales y brinda servicios de procesamiento como corte, conformado, perfilado y estampado. ¡Contáctanos para conseguir una solución profesional y adecuada!

Venta de Lámina Galvanizada por Fabricante
Wanzhi Group tiene 8 líneas de producción sobre los productos de acero, entre ellos, hay 2 líneas de producción que es para fabricar las bobinas y láminas de acero galvanizado de espesor de capa de zinc entre Z30 y 350 g. ¡Aquí, puede personalizar todos los tipos de productos galvanizados, además de los calibres estándar!

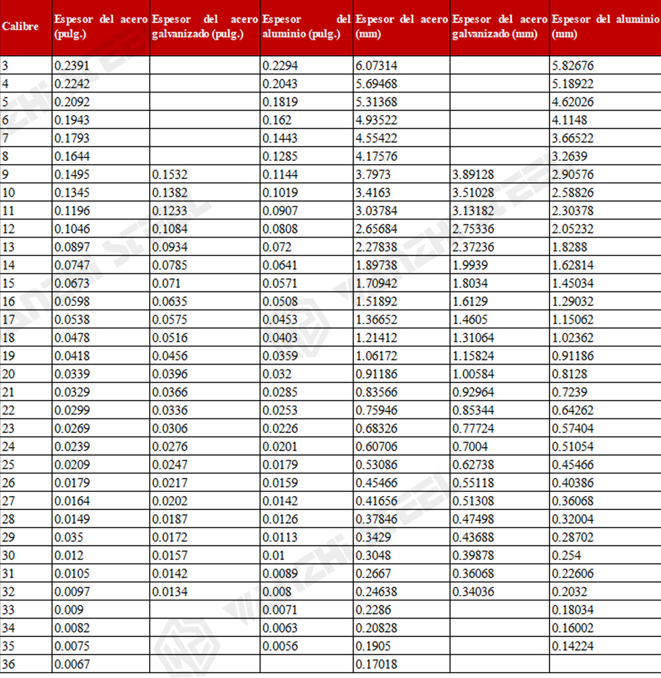
Venta de Lámina de Calibre Completo
Venta de lámina galvanizada en los calibres que necesita para utilizar en diferentes campos, y tiene la técnica de galvanización en caliente e electrogalvanizada madura. Desde la lámina de acero galvanizado calibre 9 hasta calibre 32, Wanzhi Group produce todas las calibres.

Venta de Lámina galvanizada de Diferente Formas
Además de calibre, también tiene las láminas galvanizadas en diferentes formas, tales como, lámina ondulada, lamina antiderrapante, lámina acanalada, lámina galvanizada lisa, lámina pintro, etc. También puede enviar la dibujo de forma que necesita su proyecto y Wanzhi puede personalizar según su figura.

Venta de Lámina de Acero Galvanizado de Diferente Grados
Las bobinas y láminas de acero galvanizado de Wanzhi Group ha producido por los estándares EN 10346, ASTM A653/A653M, JIS G 3302, las propiedades mecánicas y químicas de los diferentes grados de acero determinan su rango de aplicación. Si necesita sugerencias, ficha tecnica o parámetros detallados, deje un mensaje para contarnos sus necesidades.
| Material | SGCC,S350GD+Z,S550GD+Z,DX51D,DX52D,DX53D, etc |
|---|---|
| Espesor | 0.12mm-6mm |
| Ancho | 1000 mm, 1200 mm, 1250 mm (a medida. ) |
| Peso de la bobina | 8-10 toneladas (a medida.) |
| Tolerancia | "+/-0.02 mm |
| sustrato | Bobina de laminada en caliente, Bobina de laminada en frío |
| Estructura superficial | Sin flor de zinc, Pequeña flor de zinc, Grande flor de zinc, etc. |
| Espesor de la capa de zinc | 30g/㎡-275g/㎡ (Z275/G90) |
| Tratamiento de superficie | Aceitado (O), cromo (C), fosfatado (P), Spinpass |
| Estándar | AISI, ASTM, BS, GB, JIS |
| Estándares de implementación | GB/T2518 GB/T25052 |
| Certificados | SGS, ISO 9001,CE |
¿Cuánto Cuesta la Hoja Galvanizada por Tonelada?
Pues, ¿Cuánto cuesta la lámina galvanizada en una tonelada o por piezas? ¿Y cómo compra las láminas en precio económico y alta calidad? Wanzhi Group, venta de lámina galvanizada en un precio por al mayor, las especificaciones estándares es 600-700 por una tonelada, (Capa de zinc normal, sin flores de zinc en la superficie). Para calcular el precio de las láminas galvanizadas, necesita conocer factores como la capa de zinc, el espesor, el ancho, si tiene flores de zinc, el material, el peso del rollo y otros factores. ¡Contáctenos para obtener una cotización gratuita!
¿Por qué Utiliza la Lámina Galvanizada?
Porque la lámina galvanizada tiene muchos beneficios, especialmente, en los proyectos al aire libre, se pone un importante papel, debido a sus buenas propiedades mecánicas y físicas, resistencia a la corrosión, lo que convierte la lámina galvanizada en una popular optación.
- Prevenir la oxidación
- Durabilidad
- Resistencia
- Aspecto estético
- Fácil de uso y mantenimiento
- Larga vida útil
¿Quién Está Comprando la Lámina Galvanizada?
Venta la lámina galvanizada a los campos de construcción y producción, entre otros. Las láminas son los buenos materiales de las cubiertas, techo, fachada, etc., Wanzhi Group ya brindó muchas bobinas y láminas de aceros a los clientes que tienen la fábrica y proyecto de construcción, transporte, electrodomésticos, coches, etc., como materia prima.
- Construcción: Techo, fachada, cubierta, pared, estructuras de acero, tabiques y decoración, ets.
- Fabricación: Cáscara de electrodoméstico, panel decorativo, estructura interior.
- otros: canalones, sistema de tubería, etc.
Venta de Lámina a Todo el Mundo
Venta de la lámina galvanizada de alta calidad a los clientes en todo el mundo. Es que en la fábrica tiene la materia prima en stock, lo que hace que se realiza la entrega rápidamente a todos los pedidos. (El plazo de entrega de los productos es 5-45 días.) Además, contamos con nuestro propio equipo de producción e inspección de calidad, por lo que la calidad, cantidad y tiempo de entrega están garantizados.
Fábrica de Lámina – Wanzhi Group
La fábrica de lámina y bobinas de acero galvanizado está ubicado en la provincia Shandong, da bienvenido a ustedes a ir a la fábrica a visitar. Aquí no solo se encuentran nuestras líneas de producción de bobinas, placas y flejes galvanizados, sino también las líneas de producción de acero ZAM y acero prepintado, así como diversas especificaciones de máquinas formadoras.
Proceso de Inspección y Transporte
En nuestra fábrica disponemos de instrumentos para comprobar el grosor de la capa galvanizada, la adherencia, el aspecto, las propiedades mecánicas y la resistencia a la corrosión. Tras la producción, inspeccionamos los productos y enviamos los resultados de la inspección a los clientes. Una vez cumplidos los requisitos del cliente, embalamos los productos según corresponda.

Venta de la lámina galvanizada, lámina de galvalume, lámina pintro, y todos los tipos de acero recubierto. ¡Si está interesado al precio, uso y otras informaciones, damos bienvenido a dejar sus mensajes!







